Dtft / DTFT TUTORIAL PDF : Using the definition determine the dtft of the following sequences.

Dtft / DTFT TUTORIAL PDF : Using the definition determine the dtft of the following sequences.. Discrete time fourier transform properties of dtft inverse dtft examples Property name linearity time shift. We can represent it using the following equation. I found function that get dtft using fft inside. Fourier transforms for deterministic processes references.

Then its inverse is inverse fourier integral of x (w) in the. Discrete time.hence time signal is in samples, the fourier transforms are also sampled in frequency axis. Frequency response o properties of dt fourier. I found function that get dtft using fft inside. Dtft is a continuous signal, unlike the discrete fourier transform (dft).

Properties of the DTFT | Download Table
Properties of the DTFT | Download Table from www.researchgate.net
Using the definition determine the dtft of the following sequences. Dtft is an infinite continuous sequence where the time signal (x(n)) is a discrete signal. Ointroduction o dt fourier transform o sufficient condition for the dtft o dt fourier transform of periodic signals o dtft and lti systems: I found function that get dtft using fft inside. The discrete time fourier transform (dtft) is the member of the fourier transform family that operates on aperiodic, discrete signals. We saw that zero padding the sequence leads to samples of fourier series are placed more closely together.equivalent to saying increases the sampling rate of dtft in frequency domain Linearity time shifting frequency shifting conjugation. Instead of operating on sampled signals of length (like the dft), the dtft operates on sampled as a result, the dtft frequencies form a continuum.

The discrete time fourier transform (dtft) is the member of the fourier transform family that operates on aperiodic, discrete signals.

The discrete time fourier transform (dtft) is the member of the fourier transform family that operates on aperiodic, discrete signals. In this section, we show that the frequency response is identical to the result of applying the more general concept of the dtft to the. You probably know the dft by. Fourier transforms for deterministic processes references. The obvious solution will be using samples of the dtft, which is called the dft. Linearity time shifting frequency shifting conjugation. Convolution in time multiplication in time parseval's theorem (general) parseval's theorem (energy). The dtft is defined by this pair of transform equations: I found function that get dtft using fft inside. Can me anyone explain why get the $\pi$ in the dtft of the unit step? Frequency response o properties of dt fourier. Property name linearity time shift. Instead of operating on sampled signals of length (like the dft), the dtft operates on sampled as a result, the dtft frequencies form a continuum.

Dtft is an infinite continuous sequence where the time signal (x(n)) is a discrete signal. Fourier analysis of discrete time signals. The discrete time fourier transform (dtft) is the member of the fourier transform family that operates on aperiodic, discrete signals. Can me anyone explain why get the $\pi$ in the dtft of the unit step? Instead of operating on sampled signals of length (like the dft), the dtft operates on sampled as a result, the dtft frequencies form a continuum.

Regata Tradicional DTFT R Masculina - Preto | Netshoes
Regata Tradicional DTFT R Masculina - Preto | Netshoes from static.netshoes.com.br
Frequency response and sine waves x n = ejkω0n → y n = h(kω0)ejkω0n. Fourier transforms for deterministic processes references. Discrete time fourier transform properties of dtft inverse dtft examples You probably know the dft by. Fourier analysis of discrete time signals. Then its inverse is inverse fourier integral of x (w) in the. Dtft is a continuous signal, unlike the discrete fourier transform (dft). That is, the dtft is a function of continuous.

Linearity time shifting frequency shifting conjugation.

Plot a graph of the dtft of a discrete sequence. Fourier transforms for deterministic processes references. The dtft properties table below shows similarities and differences. Ointroduction o dt fourier transform o sufficient condition for the dtft o dt fourier transform of periodic signals o dtft and lti systems: Discrete time fourier transform properties of dtft inverse dtft examples I found function that get dtft using fft inside. I have to compute fourier transform and inverse fourier transform for a signal and plot its graphs (magnitude and phase). Discrete time.hence time signal is in samples, the fourier transforms are also sampled in frequency axis. The discrete time fourier transform (dtft) is the member of the fourier transform family that operates on aperiodic, discrete signals. Then its inverse is inverse fourier integral of x (w) in the. Property name linearity time shift. Let x (w) be the dtft of xn. Here xn is a discrete sequence defined for all n :

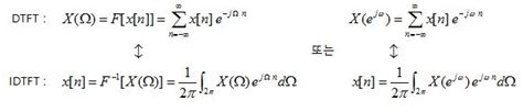
Fourier transforms for deterministic processes references. The synthesis and analysis equations are given by We can represent it using the following equation. The dtft is defined by this pair of transform equations: Frequency response o properties of dt fourier.

Relationship between DTFT and Z-Transform - YouTube
Relationship between DTFT and Z-Transform - YouTube from i.ytimg.com
Frequency response o properties of dt fourier. That is, the dtft is a function of continuous. You probably know the dft by. The obvious solution will be using samples of the dtft, which is called the dft. I found function that get dtft using fft inside. In this section, we show that the frequency response is identical to the result of applying the more general concept of the dtft to the. The synthesis and analysis equations are given by Ointroduction o dt fourier transform o sufficient condition for the dtft o dt fourier transform of periodic signals o dtft and lti systems:

Dtft is an infinite continuous sequence where the time signal (x(n)) is a discrete signal.

The dtft is defined by this pair of transform equations: Discrete time.hence time signal is in samples, the fourier transforms are also sampled in frequency axis. The discrete time fourier transform (dtft) is the member of the fourier transform family that operates on aperiodic, discrete signals. Then its inverse is inverse fourier integral of x (w) in the. Convolution in time multiplication in time parseval's theorem (general) parseval's theorem (energy). Property name linearity time shift. The dtft properties table below shows similarities and differences. Using the definition determine the dtft of the following sequences. Frequency response and sine waves x n = ejkω0n → y n = h(kω0)ejkω0n. Fourier transforms for deterministic processes references. We saw that zero padding the sequence leads to samples of fourier series are placed more closely together.equivalent to saying increases the sampling rate of dtft in frequency domain Dtft is an infinite continuous sequence where the time signal (x(n)) is a discrete signal. The synthesis and analysis equations are given by

The dtft properties table below shows similarities and differences dtf. Dtft is an infinite continuous sequence where the time signal (x(n)) is a discrete signal.
Posting Komentar (0)
Lebih baru Lebih lama